
그림 1 : 커패시터 회로
전기 회로에서 커패시터 전하를 저장 및 배출하기위한 목적을 제공합니다.그들은 절연 유전체로 분리 된 2 개의 전도성 판이 있습니다.청구를 보유하는 능력은 파라드에서 측정됩니다.

그림 2 : 커패시터
커패시터는 직렬 또는 병렬로 연결할 수 있습니다.직렬로, 더 많은 커패시터는 전체 커패시턴스를 감소시켜 더 낮은 커패시턴스를 달성하는 데 유용합니다.동시에, 더 많은 커패시터는 총 커패시턴스를 증가시켜 전원 공급 장치 필터와 같은 작은 공간에서 높은 커패시턴스에 이상적입니다.유전체 재료는 커패시터의 성능에 영향을 미쳐 최대 전하, 파괴 전압 및 회로 주파수 응답을 결정합니다.고급 커패시터는 세라믹, 탄탈 룸 또는 중합체 전해질과 같은 재료를 사용하여 더 높은 커패시턴스, 온도 안정성 및 낮은 누출을 사용합니다.

그림 3 : 커패시터
다음은 특성에 대한 간단한 설명과 이러한 구성이 원하는 커패시턴스를 얻기 위해 어떻게 배열 될 수 있는지에 대한 설명입니다.

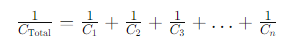
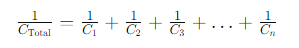
그림 4 : 커패시턴스 시리즈
커패시터를 직렬로 연결하면 전체 커패시턴스가 작아집니다.이는 청구가 더 많은 재료를 통과해야하므로 요금을 저장하기가 더 어려워지기 때문에 발생합니다.총 커패시턴스 (1/c총) 각 개별 커패시터의 역수의 합 (1/c1 + 1/c2 + ... + 1/cN).전체 커패시턴스는 항상 시리즈에서 가장 작은 커패시터보다 작습니다.시리즈의 총 커패시턴스를 계산하기위한 공식은 다음과 같습니다.

회로 설계자는 특정 커패시턴스 요구 사항을 충족하기 위해 커패시터를 선택할 때이 기능을 고려해야합니다.공간 및 애플리케이션 요구와 같은 실제 제약 조건은 커패시터 수를 직렬로 제한 할 수 있으며, 커패시터가 동일하지 않으면 다양한 전압 분포가 복잡성을 더할 수 있습니다.

그림 5 : 커패시턴스 평행
커패시터가 병렬로 연결되면 총 커패시턴스가 증가합니다.이는 모든 커패시터의 결합 된 표면적이 동일한 전압으로 더 많은 전하를 저장할 수 있기 때문입니다.총 커패시턴스 (c총) 각 커패시터의 커패시턴스의 합입니다 (C1 + c2 + ... + cN).전체 커패시턴스는 가장 큰 단일 커패시터보다 클 것입니다.병렬로 총 커패시턴스를 계산하기위한 공식은 다음과 같습니다.

그러나 무제한 수의 커패시터는 병렬로 연결할 수 있지만 물리적 공간, 회로 목적 및 설계 제약과 같은 실질적인 한계는 종종 숫자를 제한합니다.적절한 전압 등급 및 공차가있는 고품질 커패시터는 신뢰할 수있는 회로 성능에 좋습니다.이 공식은 커패시턴스 값을 정확하게 제어하여 설계자가 회로 동작, 에너지 효율 및 성능을 최적화하여 전자 및 전기 공학의 초석이 될 수 있도록합니다.

그림 6 : 시리즈 및 평행
일련의 커패시터 회로는 동일한 경로를 따라 순차적으로 연결된 커패시터를 특징으로하여 동일한 전하 또는 전류가 각 구성 요소를 통해 횡단되도록합니다.커패시터를 가로 지르는 균일 한 전류 흐름, 그러한 회로의 동작을 이해하는 기본 측면을 보장합니다.

그림 7 : 시리즈 커패시터 회로
시리즈 설정에서 각 커패시터는 동일한 전하를 처리해야합니다.DC 전압 소스가 적용되면, 시리즈 연결은이 평형을 유지하기 위해 커패시터를 따라 재분배를 충전하는 것을 지시합니다.예를 들어, 전압 소스가 커패시터 C에 연결된 경우1, c2및 c3 각각 값 2f, 4f 및 6f를 사용하면 다음이 발생합니다.
• c의 오른쪽3 배터리의 양성 단자를 향한 전자의 인력으로 인해 긍정적으로 하전됩니다.
•이 전자의 부족 c3오른쪽 판은 C에서 비슷한 결함을 유발합니다.2오른쪽 플레이트 및 동일한 효과는 C1에서 발생합니다.
• 커패시터를 가로 지르는이 연쇄 반응은 균일 한 전하 분포를 보장합니다.
예:
커패시턴스가 주어지면 c1= 2f, c2= 4f, c3= 6F 및 10V의 DC 전압, 전하 및 전압 분포를 결정할 수 있습니다.


그림 8 : 샘플 시리즈
CTOTAL 계산은 대략 0.92F입니다.
q = c × v 사용, 여기서 q는 충전이고 v는 전압입니다.

따라서 각 커패시터는 9.2C의 전하를 보유합니다.
각 커패시터의 전압은 v = cq을 사용하여 발견됩니다.

개별 전압의 합, v1+v2+v3, 소스 전압 (10V)과 동일해야합니다.여기에서는 약 8.43V로 계산되므로 초기 추정 또는 가정에서 반올림 또는 계산 오류가 나타납니다.
병렬 커패시터 회로는 커패시터가 공통점에 나란히 연결되어 동일한 전압 하에서 독립적으로 작동 할 수있는 전자 설정입니다.이는 커패시터가 전하를 공유하는 직렬 회로와 다릅니다.

그림 9 : 병렬 커패시터 회로
병렬로, 각 커패시터의 전압은 동일합니다.그러나 각 커패시터 저장소는 커패시턴스에 따라 다릅니다.커패시턴스가 높을수록 커패시터가 더 많은 충전을 저장할 수 있습니다.예를 들어, 8 개의 파라드 (F)와 4F의 커패시터가있는 경우, 8F 커패시터는 둘 다 동일한 전압에있을 때 4F 커패시터보다 더 많은 전하를 저장하게됩니다.
병렬 커패시터의 주요 장점 중 하나는 전체 커패시턴스의 증가입니다.총 커패시턴스가 어떤 개별 커패시터보다 적은 시리즈 회로와 달리, 총 커패시턴스는 모든 개별 커패시턴스의 합입니다.이는 플레이트 영역이 거리를 변경하지 않고 효과적으로 증가하여 회로의 저장 능력을 향상시키기 때문에 발생합니다.
예:

그림 10 : 샘플 평행
10V DC 전원과 병렬로 연결된 3 개의 커패시터가있는 회로를 고려하십시오.커패시터에는 이러한 커패시턴스가 있습니다. c1 = 8f, c2 = 4f 및 c3 = 2f.각 커패시터는 동일한 10V를 경험하지만 커패시턴스에 따라 다른 충전을 저장합니다.
커패시터 c1: 8F를 사용하면 80 쿨롱 (c)의 전하를 저장하며 q = c × v로 계산되며, 이는 8f × 10V = 80C입니다.
커패시터 c2: 4F를 사용하면 4F × 10V = 40C로 계산 된 40C의 전하를 저장합니다.
커패시터 c3: 2F를 사용하면 20C의 전하가 2f × 10V = 20c로 계산됩니다.
회로의 총 전하는 모든 요금의 합입니다 : Q티= q1+Q2+Q3= 80c+40c+20c = 140c
이 첨가는 병렬 커패시터 회로가 개별 커패시터의 커패시턴스를 결합하여 충전 저장을 향상시키는 방법을 보여줍니다.병렬 커패시터 회로는 총 커패시턴스 및 충전 저장 용량을 증가 시키며 각 커패시터는 동일한 전압을 경험합니다.
에너지가 직렬 또는 평행 한 커패시터에 어떻게 저장되는지 이해하기 위해, 우리는 단일 커패시터에 저장된 에너지에 대한 기본 공식으로 시작합니다.

여기, u기음 줄무늬의 에너지, Q는 쿨롱의 전하이며, C는 파라드의 용량입니다.
커패시터의 경우 커패시턴스 C1 및 C2가있는 두 개의 커패시터를 고려하십시오.각 커패시터의 전하와 전압의 관계는 C = VQ에 의해 주어집니다.시리즈 구성에서 동일한 전하 Q가 각 커패시터에 있습니다.

시스템에 저장된 총 에너지는 개별 에너지의 합입니다.

이것은 일련의 커패시터의 효과적인 커패시턴스가 개별 커패시턴스의 상호 합계이며, 이는 총 커패시턴스를 감소시키고 단일 또는 병렬 구성에 비해 에너지 저장을 변화 시킨다는 것을 보여준다.
커패시터의 경우 각 커패시터는 그 전체에 걸쳐 동일한 전압을 갖습니다.각각의 에너지는 전압 기반 공식을 사용하여 표현할 수 있습니다.

두 커패시터 인 경우 c1 그리고 c2 동시에 동일한 전압 V가 있으며 총 에너지 저장은 다음과 같습니다.

이 계산은 병렬 커패시터에 대한 총 커패시턴스가 개별 커패시턴스의 합이며, 이는 개별 또는 직렬 구성에 비해 저장된 총 에너지를 증가 시킨다는 것을 보여줍니다.
커패시터를 시리즈에서 사용하면 전체 작동 전압 증가를 포함하여 몇 가지 장점이 있습니다.이 구성은 또한 특히 고 부가가치 저항 (약 100kΩ 이상)이 각 커패시터에 배치되어 전압의보다 균일 한 분포를 보장 할 때보다 효과적인 전압 밸런싱을 허용합니다.
커패시터를 시리즈로 사용하면 불평등 한 전압 공유 문제를 포함하여 단점이 있습니다.누설 전류, 특히 전해 커패시터의 변화는 하나의 커패시터가 과전압을 경험할 수있어 손상을 초래할 수 있습니다.제조 또는 노화 속도의 경미한 차이는 또한 누출 전류의 변화에 기여하여 전압 분포에 영향을 미칩니다.전해 커패시터의 누출 전류는 시간이 지남에 따라 증가하는 경향이 있습니다. 특히 정기적으로 사용되지 않는 경우.밸런싱 저항이 제자리에 있어도 안정적인 작동을 보장하기 위해 작동 전압, 특히 전해 커패시터의 마진을 남겨 두어야합니다.
에너지 저장 증가 : 병렬로 커패시터를 연결하는 것은 총 커패시턴스가 모든 개별 커패시터의 합이기 때문에 직렬 일 때보 다 더 많은 에너지를 저장합니다.
더 나은 전압 균형 : 병렬 커패시터 뱅크는 밸런싱 저항이 적어 비용과 전력 손실을 줄이면 더 나은 전압 밸런스를 달성합니다.
비용 효율성 : 병렬 연결에서 균형 저항기가 줄어 듭니다. 비용을 절약하고 시스템을 단순화합니다.
전압 제한 : 병렬 회로에서 모든 커패시터는 동일한 전압을 공유합니다.최대 전압은 가장 낮은 등급의 커패시터로 제한됩니다.예를 들어, 하나의 커패시터가 200V, 다른 커패시터가 500V로 평가되면 전체 시스템은 200V 만 처리 할 수 있습니다.
안전 위험 : 병렬 커패시터는 많은 양의 에너지를 신속하게 저장하고 방출합니다. 이는 단락이있는 경우 위험 할 수 있으며 잠재적으로 심각한 손상과 부상을 유발할 수 있습니다.
시스템 고장 위험 : 복잡한 레이아웃에서 하나의 커패시터가 실패하면 다른 커패시터가 전체 전압을 처리하여 전체 시스템의 잠재적 고장을 초래해야합니다.이 위험은 한 커패시터의 고장이 다른 커패시터의 실패에 영향을 미치지 않는 직렬 연결에서 낮습니다.
커패시터를 자세히 살펴보면 현대 전자 장치에서의 사용에 대한 기능과 중요한 고려 사항을 이해하는 데 도움이됩니다.시리즈 설정은 작동 전압을 증가시키고 전압 분포를 관리하지만 커패시턴스를 줄이고 변동에 대한 감도를 증가시킵니다.병렬 설정은 소형 공간의 에너지 관리에 적합한 총 커패시턴스 및 에너지 저장을 향상 시키지만 한 커패시터가 실패하면 위험 할 수 있습니다.시리즈와 병렬 구성 중에서 선택하는 것은 특정 엔지니어링 요구, 균형 공간, 비용 및 성능에 따라 다릅니다.이론적이고 실용적인 통찰력은 신뢰할 수 있고 효율적인 전기 시스템을 보장하기 위해 신중한 커패시터 선택 및 회로 설계를 강조합니다.
일련의 커패시터는 주로 더 높은 주파수에서 회로의 임피던스를 줄이기 위해 주로 사용되며, 이는 장거리에서 전력 전송을 향상시키고 전압 조절을 향상시킵니다.커패시터가 직렬로 연결되면 총 커패시턴스가 감소합니다.이 구성은 동일한 전하가 모든 커패시터를 통과하도록 강요하여 커패시턴스 값에 따라 각 커패시터의 총 전압을 분할하게합니다.이 특성은 신호 커플 링 및 필터링과 같은 응용 분야에서 특히 유용하며, 목표는 대체 전류 (AC)를 통과 할 수 있도록 직류 (DC)를 차단하는 것입니다.
일련의 커패시터는 회로의 임피던스, 특히 고주파 응용 분야에서 조정할 필요가있을 때 사용됩니다.또한 회로에서 전압 분할을 달성하기 위해 사용됩니다.전력 시스템에서, 일련의 커패시터는 긴 전송 라인에서 유도 리액턴스를 보상함으로써 전력 전송 라인의 용량을 증가시키는 데 사용되므로 동일한 전압 조건 하에서 더 많은 전류가 흐를 수 있습니다.
두 개의 커패시터가 엔드 투 엔드에 연결된 경우 두 개의 커패시터가 직렬로 사용되며, 하나는 다른 하나의 음성 단자에 연결되어 있으며 다른 회로 구성 요소와 관련된 두 개의 연결 지점 만 있습니다.이 배열은 전하 및 배출 전류를 통해 흐르는 전하가 동일하도록 보장합니다.총 커패시턴스는 또한이를 확인하기 위해 계산할 수 있습니다.일련의 커패시터의 경우, 총 커패시턴스의 역수는 개별 커패시턴스의 역수의 합입니다.
커패시터가 병렬로 연결되면 회로의 총 커패시턴스가 증가합니다.이 구성을 통해 각 커패시터는 동일한 전압을 유지하여 커패시터 전체에 전하 용량이 축적됩니다.병렬 커패시터는 종종 개별 커패시터의 전압 등급을 증가시키지 않으면 서 더 높은 커패시턴스가 필요한 시스템에 전압을 안정화하고 더 많은 충전을 저장하는 데 사용됩니다.
구성 자체는 원래 공급 전압을 증가시키지 않습니다.그러나 회로 내의 전압 분포는 다릅니다.직렬 구성에서, 전압은 개별 커패시턴스에 따라 커패시터로 나뉩니다.대조적으로, 병렬 구성에서, 각 커패시터의 전압은 공급 전압과 동일하게 유지됩니다.
예, 평행 회로에서 각 커패시터의 전압은 동일하며 회로에 공급되는 총 전압과 동일합니다.이 전압 의이 균일 한 분포는 병렬 커패시터가 여러 구성 요소에 일관된 전압이 필요한 응용 분야에 이상적입니다.
문의를 보내 주시면 즉시 응답하겠습니다.
6월11일에서
6월11일에서
4월18일에서 147757
4월18일에서 111931
4월18일에서 111349
4월18일에서 83718
1월1일에서 79508
1월1일에서 66879
1월1일에서 63010
1월1일에서 62969
1월1일에서 54081
1월1일에서 52105