배터리 기술의 개발은 새로운 전자 제품, 전기 자동차 및 재생 에너지를 발전시켜 왔습니다.배터리 충전 방법이 어떻게 작동하는지 아는 것이 최상의 성능과 배터리에서 가장 긴 수명을 얻는 데 중요합니다.이 기사는 상수 전압 (CV) 및 상수 전류 (CC), 조합 및 CP (Constant Power) 충전과 같은 새로운 방법과 같은 다양한 충전 방법을 살펴 봅니다.또한 펄스 충전과 같은 고급 기술 및 특정 유형의 배터리를 위해 설계된 혁신적인 IUI 충전 방법을 다룹니다.각 방법에는 고유 한 장점이 있으며 특정 용도에 가장 적합하여 최신 배터리 기술의 상세한 요구를 보여줍니다.이 기사는 이러한 방법이 어떻게 작동하는지 설명 할뿐만 아니라 오늘날의 기술 중심 세계에서 사용되는 방법을 보여주고 각 충전 방법, 작동 방식 및 계속해서 분야를 바꾸는 기술 발전에 대한 세부적인 모습을위한 단계를 설정합니다.배터리 충전.

그림 1 : 배터리 충전이 작동합니다
일정한 전압 (CV) 충전은 배터리에 적용되는 전압이 충전 공정 전반에 걸쳐 고정되어있는 방법입니다.이는 상수 전류 (CC) 충전과 다릅니다. 여기서 전류는 일정하게 유지되는 반면 전압은 변합니다.CV 충전에서 배터리는 미리 결정된 전압 레벨에 도달 할 때까지 충전됩니다.이 시점에서 전압이 유지되고 배터리가 완전 충전에 가깝게 전류가 감소합니다.이 방법은 전압이 안전 범위 내에서 유지되어 과충전 및 배터리 손상을 방지합니다.
이 충전 방법은 리튬 이온 배터리 충전의 최종 단계에서 필요합니다.정확한 전압 제어를 제공하여 배터리 팩의 각 셀이 배터리의 화학 및 수명에 해를 끼칠 수있는 최대 전압 한계를 초과하지 않고 최적의 충전 레벨에 도달하도록합니다.

그림 2 : 일정한 전압 (CV) 충전의 그래프
CV 충전 단계의 자세한 분석은 다음과 같습니다.
상수 전류 (CC) 단계에서 배터리는 최대 용량에 가까운 특정 전압 임계 값에 부딪 칠 때까지 충전됩니다 (대부분의 리튬 이온 배터리의 경우 셀당 약 4.2 볼트).
이 임계 값이 충족되면 충전 회로는 CC에서 CV 모드로 전환됩니다.그런 다음 충전기는 배터리에 일정한 전압을 적용합니다.
이력서가 시작될 때 충전 전류가 높습니다.셀 전압이 충전기 전압에 가까워지면 전류는 점차 감소합니다.이는 충전기와 배터리의 전위 차이가 줄어들어 OHM의 법칙에 따라 전류 흐름을 자연스럽게 제한하기 때문에 발생합니다.
배터리가 계속 충전되면 전압을 유지하기 위해 전류가 적습니다.이 감소 전류는 배터리가 전체 충전 용량에 가깝다는 것을 나타냅니다.
충전 프로세스는 전류가 초기 전하 속도의 작은 비율로, 종종 시작 전류의 약 10%로 떨어질 때 종료됩니다.전류가 떨어지면 배터리가 완전히 충전되어 있음을 나타냅니다.
상수 전류 (CC) 충전은 고정 전류가 특정 전압 레벨에 도달 할 때까지 배터리에 공급되는 배터리 충전 방법입니다.전압이 꾸준히 유지되고 배터리 충전이 감소하는 일정한 전압 (CV) 충전과 달리 CC 충전은 충전 공정 전반에 걸쳐 꾸준한 전류를 유지합니다.이 전류는 배터리 제조업체에 의해 지정되거나 배터리의 특성에 따라 결정됩니다.일정한 전류가 배터리로 흐르면 전압이 증가합니다.배터리가 지정된 전압 임계 값에 도달하면 충전 방법은 사이클을 완료하기 위해 일정한 전압 충전으로 전환하여 배터리가 과충전없이 완전히 충전되도록 할 수 있습니다.
CC 충전의 기본 원리는 전류를 충전 단계 전체에 걸쳐 배터리로 일정하게 흐르는 것을 포함합니다.이는 현재 조절 회로 또는 장치를 사용하여 원하는 수준과 일치하도록 현재 출력을 모니터링하고 조정하는 장치를 사용하여 달성됩니다.이 방법은 효율적인 에너지 전달을 보장하고 배터리 셀에 대한 스트레스를 최소화합니다.일정한 전류 충전은 배터리, 전기 자동차 및 산업 장비를 포함한 다양한 응용 분야에서 널리 사용됩니다.

그림 3 : 일정한 전류 충전의 그래프
이 분야의 발전은 혁신적인 재료, 배터리 관리 시스템 및 스마트 알고리즘에 중점을 둔보다 효율적이고 빠르며 안전한 충전 솔루션의 필요성에 의해 주도됩니다.아래는 이러한 새로운 기술에 대한 매력적인 개요입니다.
|
범주 |
기술 |
설명 |
이익 |
|
전극 재료 |
실리콘 양극 |
실리콘은 리튬을 10 배 더 많이 저장할 수 있습니다
흑연보다 이온으로, 에너지 밀도가 높아지고 더 빠른 충전이 발생합니다. |
더 높은 에너지 밀도, 더 빠른 충전 |
|
리튬 금속 양극 |
리튬 금속은 더 큰 용량을 제공하지만
수상 돌기에서 단락의 위험을 초래합니다.솔루션에는 고급이 포함됩니다
전해질 및 고형 상태 설계. |
더 높은 용량, 향상된 안전성 |
|
|
배터리 관리 시스템 (BMS) |
적응 형 CC 충전 |
각 셀의 충전, 온도,
머신 러닝을 사용하여 실시간으로 전류를 조정하고
고급 알고리즘. |
최적화 된 효율, 장기 배터리
삶 |
|
무선 CC 충전 |
공명 유도 커플 링 &
자기 공명 |
효율적인 에너지를 허용하는 기술
물리적 커넥터없이 짧은 거리에 전달하고 이제는 스케일링됩니다.
EVS와 같은 더 큰 응용 프로그램의 경우. |
원활하고 빠른 에너지 보충에 대한
EV |
|
나노 기술 |
탄소 나노 튜브 및 그래 핀 |
예외적 인 나노 구조화 된 재료
전기 전도성 및 표면적, 배터리에 통합
충전 시간을 줄이고 내구성을 향상시키는 전극. |
더 빠른 충전, 개선 된 배터리
내구성 |
|
하이브리드 슈퍼 커패시터-배터리 시스템 |
빠른 슈퍼 커패시터 결합
CC 단계에서 고 에너지 저장을위한 배터리로 충전. |
고출력 및 에너지 밀도, 빠른
충전 기능 |
|
|
소프트웨어 및 제어 |
AI & 예측 모델링 |
방대한 데이터 분석을 사용하여 결정합니다
최적의 충전 매개 변수, 이전주기에서 학습을 위해 충전을 개선합니다.
프로파일 및 과충전 및 과열을 방지합니다. |
더 빠르고 안전하며 효율적입니다
충전 |
|
IoT 통합 |
IoT 지원 충전기 및 배터리 |
충전기 간의 통신을 활성화하고
충전 일정 및 모니터를 최적화하기위한 배터리 및 중앙 시스템
실시간 배터리 건강. |
비용 절감, 그리드로드 밸런싱,
배터리 수명 및 신뢰성에 대한 실시간 모니터링 |
|
규제 및 표준화 |
규제 및 표준화 노력 |
안전에 대한 지침을 설정합니다
새로운 CC 충전 기술의 효율적인 구현
다양한 응용 프로그램 및 제조업체의 호환성 및 안전성. |
시장 통합을 용이하게합니다
안전 및 호환성 |
하이브리드 CVCC (일정한 전압, 일정한 전류) 충전은 배터리를 충전하는 현대적인 방법입니다.일정한 전압 및 일정한 전류 기술을 모두 사용하여 충전 프로세스를 개선합니다.하이브리드 CVCC 충전의 주요 목표는 배터리를 더 오래 지속하고 안전하게 충전하며 효율적으로 작업하는 것입니다.이 방법은 전기 자동차, 소비자 가제트 및 재생 가능 에너지 저장에 유용합니다.
전통적인 충전은 일정한 전압 또는 일정한 전류를 전체 시간에 사용합니다.일정한 전류 (CC) 충전에서 배터리는 특정 전압에 부딪 칠 때까지 정상 전류를 얻습니다.일정한 전압 (CV) 충전에서 배터리는 정상 전압을 가져 오는 반면 배터리가 채워짐에 따라 전류는 천천히 감소합니다.하이브리드 CVCC 충전은이 두 가지 방법을 결합하여 문제를 해결하고 강점을 사용합니다.
하이브리드 CVCC 충전의 목적은 3 배입니다.첫째, 배터리를 최대 용량으로 안전하게 채우면서 충전 시간을 단축하는 것을 목표로합니다.이는 다운 타임을 줄이기 위해 빠른 충전이 필요한 전기 자동차와 같은 것들에 매우 중요합니다.둘째, 과충전 및 과열을 피함으로써 배터리가 더 오래 지속되는 데 도움이됩니다. 전통적인 충전과 관련된 일반적인 문제.전압 및 전류를 조심스럽게 제어함으로써 하이브리드 CVCC 충전은 배터리 셀의 마모를 줄입니다.마지막으로,이 방법은 배터리로 전달되는 전력이 최적화되어 에너지 손실을 줄이고 가용 전력을 더 잘 활용하여 에너지 효율성을 향상시킵니다.

그림 4 : CVCC 충전의 그래프
하이브리드 상수 전압/상수 전류 (CVCC) 충전 방법은 배터리를 고전류로 충전하여 시작합니다.이 단계에서 충전 시스템은 전압에 관계없이 배터리에 일관된 고전류를 제공합니다.이 접근법은 짧은 시간 내에 배터리를 용량의 수준으로 빠르게 충전합니다.높은 전류 단계는 배터리를 사용 가능한 상태로 빠르게 가져 오는 데 필요합니다.
배터리가 들어오는 전류를 흡수함에 따라 전압이 상승합니다.충전 시스템은 안전 제한을 초과하지 않도록 배터리의 전압 및 전류를 모니터링합니다.이 단계는 손상이나 과도한 열없이 높은 전류 입력을 처리 할 수있는 배터리에 효과적입니다.이 단계의 지속 시간은 배터리 유형 및 용량에 따라 다르지만 배터리를 미리 결정된 전압 레벨로 빠르게 충전하는 것을 목표로합니다.
배터리의 전압이 대상에 가까워지면 충전 시스템이 두 번째 단계로 전환되어 전류가 줄어 듭니다.배터리가 특정 전압 임계 값에 도달하면 시스템은 전류를 일정하게 유지하면서 전류를 감소시킵니다.이것은 과충전을 방지하고 배터리 셀의 스트레스를 줄입니다.
전환 단계는 일정한 전압 유지와 전류가 안전한 수준 내에서 유지되도록하는 것 사이의 균형이 필요합니다.이 시스템은 알고리즘과 피드백 메커니즘을 사용하여 배터리 상태를 모니터링하고 전류를 조정합니다.목표는 과충전 위험을 최소화하면서 배터리를 최대 용량에 더 가깝게 만드는 것입니다.이 단계는 에너지 입력을 미세 조정하여 최적의 충전 효율과 안전성을 보장합니다.
최종 단계에서 충전 시스템은 일정한 전압을 유지하면서 전류가 0으로 테이퍼 오프 할 수 있습니다.배터리가 완전 충전에 가까워지면 전류가 일정한 전압을 유지해야 할 필요성이 감소합니다.이 단계는 배터리가 과충전 또는 손상을 유발하지 않고 완전히 충전되도록합니다.
이 단계에서 일정한 전압을 유지하면 배터리가 충전주기를 안전하고 효율적으로 완료 할 수 있습니다.충전 시스템은 배터리의 전압과 전류를 계속 모니터링하여 전압을 안정적으로 유지하기 위해 실시간 조정을합니다.전류가 최소 레벨 또는 0에 도달하면 충전 프로세스가 완료되고 배터리가 완전히 충전됩니다.
이 최종 단계는 배터리의 충전 용량과 사용 준비를 최대화합니다.프로세스 전반에 걸쳐 전압 및 전류를 제어함으로써 하이브리드 CVCC 방법은 신뢰할 수 있고 효율적인 배터리를 충전하고 성능을 향상시키고 수명을 확장하는 방법을 제공합니다.
일정한 전력 충전은 동적 접근 방식을 사용합니다.배터리 전압이 낮을 때 고전류로 시작하고 전압이 증가함에 따라 전류가 줄어 듭니다.이 방법은 배터리 상태에 따라 전원 전달에 적응하여 충전 효율을 극대화하고 배터리 응력을 줄입니다.
일정한 전력 충전은 충전주기 동안 입력 전력이 일정하게 유지되는 배터리 충전에 주로 사용되는 기술입니다.에너지 전달 속도로 정의 된 전력은 전압 (v) 및 전류 (i) (p = v x i)에 의해 계산됩니다.이 방법에서는 배터리의 전압이 증가함에 따라 전력이 일정하게 유지되도록 전류가 조정됩니다.이 접근법은 배터리가 과열 또는 응력없이 더 높은 에너지 전달 속도를 안전하게 수용 할 수있을 때 초기 단계를 최적화합니다.

그림 5 : 상수 전류 대 상수 전력 충전의 그래프
일정한 전력 충전은 상수 전류 (CC) 및 상수 전압 (CV) 충전과 같은보다 일반적인 방법과 다릅니다.일정한 전류 충전에서 충전기는 전압이 변경 되더라도 배터리에 정상적인 전류를 제공합니다.이것은 처음에는 잘 작동하지만 배터리가 더 가득 차서 너무 많은 전압을 유발하고 배터리에 스트레스를 줄 수 있습니다.
일정한 전압 충전은 충전기를 고정 전압으로 설정하고 배터리가 채워짐에 따라 전류가 감소합니다.이는 과충전을 피하고 전압 한계를 넘지 않고 배터리 충전을 완전히 보장합니다.
지속적인 전력 충전은 두 방법의 좋은 점을 결합하려고합니다.전력 수준을 안정적으로 유지하기 위해 전류와 전압을 모두 조정합니다.이렇게하면 처음에는 전류와 같이 배터리를 빠르게 충전 할 수 있습니다. 그런 다음 일정한 전압과 같이 배터리 전압이 상승함에 따라 속도가 느려질 수 있습니다.이 방법은 배터리의 스트레스를 관리하는 데 도움이되므로 전기 자동차 및 고용량 장치와 같이 빠른 충전 및 긴 배터리 수명이 필요한 것들에 적합합니다.
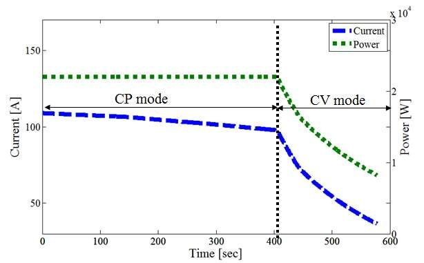
상수 전력 상수 전압 (CPCV)은 상수 전압 (CV)과 상수 전력 (CP)의 두 가지 방법을 결합합니다.CV 모드에서 충전기는 배터리가 거의 가득 차면 배터리를 과충전하지 않도록 전압을 안정적으로 유지합니다.처음에 사용되는 CP 모드에서 충전기는 빠른 충전을 위해 일정한 속도로 전력을 제공하여 배터리의 열과 응력을 관리합니다.
이 방법은 배터리 전압이 낮을 때 높은 전류에서 에너지를 빠르게 전달하기 위해 일정한 전력으로 시작합니다.배터리가 완전 충전에 가까워지면 프로세스를 개선하고 과전압을 방지하기 위해 일정한 전압 충전으로 이동합니다.이 전략은 최종 충전 단계를 최적화하기 전에 배터리를 상당한 용량까지 빠르게 충전하여 효율성과 안전을 보장하는 데 효과적입니다.
CPCV는 리튬 이온과 같은 다양한 유형의 배터리와 함께 조심스럽게 충전해야합니다.시스템은 배터리 충전 수준 및 기타 요인에 따라 CP와 CV를 전환합니다.

그림 6 : 상수 전력 상수 전압 (CPCV) 충전의 그래프
CPCV (일정한 전력 상수 전압) 충전은 리튬 이온 (Li-ion) 및 리튬 폴리머 (LIPO) 배터리에 유리합니다.이 배터리 유형은 최신 첨단 기술 장치에서 일반적입니다.CPCV 충전은 일정한 전력 단계로 시작하여 배터리가 고전압 수준을 너무 빨리 치지 않고 많은 에너지를 빠르게 흡수합니다.배터리가 특정 전압에 도달하면 충전이 일정한 전압 위상으로 이동하여 전압을 안정적으로 유지하여 배터리를 응력하거나 과열하지 않고 충전 공정을 안전하게 완료합니다.
• 스마트 폰 및 태블릿 :이 가제트는 배터리 수명 및 성능을 향상시키기 위해 빠르고 효율적인 충전이 필요합니다.
• 랩탑 : 스마트 폰과 유사하게 랩톱은 빠르고 안전한 충전으로 이익을 얻을 수 있으며 배터리 전원에 장기간 사용하기 위해 배터리 건강을 유지하는 데 도움이됩니다.
• 전기 자동차 (EVS) : EV에는 CPCV 충전의 이점이있는 대형 배터리 팩이 있습니다.이 방법은 프로세스를 안전하게 마무리하기 위해 일정한 전압으로 전환하기 전에 배터리를 높은 수준으로 빠르게 충전합니다.
• 전동 공구 : 전동 공구의 고용량 배터리는 CPCV를 사용하여 신속하고 안전하게 재충전 할 수있어 다운 타임을 줄이고 도구를 사용할 준비가되도록 할 수 있습니다.
펄스 충전은 고전류 버스트를 적용하여 배터리를 충전하는 데 사용되는 방법이며, 전류 또는 간단한 방전이없는 휴식 기간이 이어집니다.일정한 전류 스트림을 사용하는 전통적인 방법과 달리 펄스 충전에는 충전 및 휴식주기가 포함됩니다.이 기술은 생물학적 시스템에서 발견되는 자연 충전 공정을 복제하여 에너지 입력과 배터리의 화학적 안정성 사이의 균형을 최적화하는 것을 목표로합니다.
이 방법은 납 --산, NICD (Nickel-Cadmium), NIMH (Nickel-Metal Hydride) 및 리튬 이온 배터리와 같은 다양한 배터리 유형에 맞게 조정할 수 있습니다.각 유형은 펄스 강도, 지속 시간 및 휴식 기간의 변화를 포함하여 고유 한 펄스 구성이 필요할 수 있습니다.
펄스 충전 중 하나의 큰 이점은 리튬 이온 배터리에서 수상 돌기의 형성을 감소 시킨다는 것입니다.수상 돌기는 충전 중에 형성 될 수 있고 단락을 유발하여 배터리 수명과 안전성을 줄이는 바늘 모양의 구조입니다.펄스 충전의 정지 및 시작 특성은 전극의 리튬 퇴적물을 제어하여 수상 돌기의 위험을 낮추는 데 도움이됩니다.
펄스 충전은 충전 중 열 발생을 줄임으로써 배터리 성능과 수명을 향상시킬 수 있습니다.이를 통해 배터리를 올바른 온도로 유지하고 용량을 유지하며 수명을 연장합니다.이는 전기 자동차 및 휴대용 전자 장치의 고용량 배터리에 중요합니다.
펄스 충전은 배터리를 손상시키지 않고 충전 공정 속도를 높일 수 있습니다.연속 전류 충전에 비해 더 빠른 에너지 복원을 허용하며 응급 전원 시스템이나 짧은 자동차 정지 중에 빠른 재충전 시간이 필요한 응용 프로그램에 도움이됩니다.

그림 7 : 리튬 이온 배터리의 펄스 충전
펄스 충전은 니켈-카디움 (NICD), 니켈 메탈 히드 라이드 (NIMH) 및 리튬-이온 (리-이온) 세포와 같은 충전식 배터리의 효율과 수명을 개선하는 것을 목표로하는 배터리 충전 방법입니다.전통적인 연속 직류 (DC) 충전과 달리 펄스 충전은 짧은 제어 버스트 또는 펄스로 충전을 제공합니다.이 방법은 충전 프로세스를 최적화하고 NICD 배터리에서 과열 및 "메모리 효과"와 같은 일반적인 배터리 문제를 해결합니다.
펄스 충전은 간헐적으로 배터리에 더 높은 전류를 간헐적으로 적용하여 잠깐 동안 작동하지 않고 휴식 기간을 사용하여 작동합니다.이 펄스는 나머지 기간 동안 열이 사라져 온도 상승 및 잠재적 손상을 최소화함으로써 배터리의 전반적인 열 응력을 줄입니다.
펄스 충전기는 두 가지 주요 유형의 펄스를 사용합니다.
• 충전 펄스 : 배터리를 빠르게 충전하는 고전류 펄스.이 펄스의 진폭, 지속 시간 및 주파수는 배터리 유형 및 조건에 따라 다릅니다.
• 배출 펄스 : 때때로 충전 펄스와 산재 해져 배터리 전해질을 파괴하고 NICD 배터리의 메모리 효과를 줄이는 데 도움이됩니다.
충전기는 충전 펄스의 지속 시간과 전압 및 온도와 같은 배터리 매개 변수를 모니터링하는 피드백 메커니즘을 사용하여 간격을 제어합니다.이 피드백을 통해 충전기는 충전 프로세스를 조정하여 배터리의 충전 수용 및 전반적인 건강을 향상시킬 수 있습니다.
트레일 충전은 과충전을 피하면서 배터리를 완전히 충전하는 데 사용되는 기술입니다.그것은 자연스럽게 자체 전하 속도와 일치하는 작고 일관된 전기 흐름을 배터리에 전달함으로써 작동합니다.이 방법은 자주 사용되지 않는 장치에 유용하여 배터리의 건강에 해를 끼치 지 않고 충전 및 준비를하도록합니다.
이 프로세스는 최소한의 연속 전류를 적용하며 오랜 기간 동안 배터리 충전을 유지하는 데 이상적입니다.전하 속도는 느린 배터리를 완전히 충전 할 때에도 배터리를 건강하게 유지하고 사용할 수 있습니다.대기 배터리에 도움이되지만 NIMH 및 리튬 이온 배터리에는 장기간 충전으로 손상 될 수 있으므로 권장하지 않습니다.
스트레플 충전의 주요 목표는 배터리를 최적의 충전으로 무기한으로 유지하는 것입니다.세분 충전 공정에는 배터리로 흐르는 전류를 신중하게 조절하는 것이 포함됩니다.충전기는 먼저 배터리 전압을 확인하여 제공 할 전류의 양을 결정합니다.전압이 대상 아래에 있으면 충전기는 더 높은 전류를 공급하여 재충전합니다.대상 전압에 도달하면 충전기는 배터리의 자체 전하 속도와 일치하는 낮은 정상 전류로 전환됩니다.이 접근법은 과충전의 위험없이 배터리를 완전히 충전하여 수명과 성능을 확장시킵니다.

그림 8 : 배터리 충전을 건조합니다
납산 배터리 : 플로트 및 펄스 충전이 모두 적합합니다.플로트 충전은 종종 비상 시스템과 같은 고정 용도에 선호됩니다.
니켈-카디움 배터리 :이 배터리는 펄스 및 플로트 충전을 모두 사용할 수 있습니다. 과충전 할 때 유리합니다.
리튬 이온 배터리 : 과충전에 대한 민감성으로 인해 물약 또는 플로트 충전에 적합하지 않습니다.제어 된 버스트 및 적절한 회로가있는 펄스 충전은 리튬 이온 배터리를 보호하고 유지하는 데 더 적합합니다.
다단계 상수 전류 (MCC) 충전은 배터리 셀, 특히 리튬 이온 및 납산 배터리 충전을위한 고급 기술입니다.이 방법에는 배터리 충전주기의 다른 단계에 맞게 조정 된 고유 한 전류 충전 단계가 포함됩니다.MCC 충전의 주요 목표는 충전 프로세스의 다양한 단계에서 전달 된 전류를 조정하여 배터리 건강 및 수명을 향상시키는 것입니다.
첫 번째 단계에서는 배터리를 용량의 일부로 빠르게 충전하기 위해 높은 상수 전류가 적용됩니다.벌크 충전으로 알려진이 단계는 배터리 충전 수준을 효율적으로 증가시킵니다.
배터리가 특정 전압 임계 값에 도달함에 따라 충전 시스템은 전류가 낮은 단계로 이동합니다.이 단계는 더 미세한 제어를 제공하여 배터리 셀의 과충전 및 스트레스를 감소시킵니다.이 신중한 변조는 배터리의 수명과 효율을 유지하는 데 도움이됩니다.

그림 9 : 다단계 상수 전류 (MCC) 충전의 그래프
|
측면 |
MCC 충전 |
|
배터리
건강 |
충전 중 스트레스를 최소화합니다 |
|
현재의
조정 |
배터리 충전 수준에 따라 조정됩니다 |
|
과열
방지 |
전하가 증가함에 따라 전류를 줄입니다
과열을 방지하십시오 |
|
배터리
장수 |
전반적인 건강과 수명을 향상시킵니다 |
|
온도
관리 |
최적의 범위 내에서 온도를 유지합니다 |
|
전압
관리 |
과도한 전압 응력을 방지합니다 |
|
능률 |
희생하지 않고 신속하게 청구합니다
안전 |
|
용량
그리고 안정성 |
더 높은 용량과 안정성을 유지합니다
수명 이상 |
|
애플리케이션
적당 |
다양한 응용 프로그램에 적합합니다
(전자 장치, 차량) |
일정한 전압 방법에서 파생 된 테이퍼 전류 충전은 배터리 전압이 상승함에 따라 충전 전류를 감소시킵니다.이 간단한 방법은 분해 나 고장을 피하기 위해 특히 밀봉 된 납산 배터리에서 과충전을 방지하기 위해 신중한 모니터링이 필요합니다.
배터리가 충전되면 내부 저항이 증가하여 초기 고 충전 전류가 동일하게 유지되면 더 높은 온도와 손상이 발생할 수 있습니다.전류를 줄이면 충전기는 배터리가 더 많이 충전 될수록 전류가 줄어들어 과열 위험이 낮아지고 배터리 수명을 연장 할 수 있습니다.
다른 배터리 충전 방법과 비교할 때 테이퍼 전류 충전은 더 간단하고 종종 더 안전합니다.리튬 이온 배터리에 사용되는 펄스 충전 또는 일정한 전류/상수 전압 (CC/CV) 충전과 같은보다 복잡한 기술과 다릅니다.이러한 방법은 배터리를보다 빠르고 효율적으로 충전 할 수 있지만 충전 프로세스를 안전하게 제어하려면 더 고급 시스템이 필요합니다.
반사 또는 네거티브 펄스 충전이라고도하는 버프 충전에는 충전 휴식 중에 간단한 방전 펄스가 포함됩니다.BURP 충전은 NICD (Nickel-Cadmium) 및 NIMH (Nickel-Metal Hydride) 배터리와 같은 니켈 기반 배터리의 수명 및 효율성을 향상시키는 데 사용되는 방법입니다.이 기술에는 짧은 방전 펄스로 충전 프로세스를 간단히 방해하는 것이 포함됩니다.이 짧은 방전은 정상 충전 중에 배터리 셀에 축적되는 가스 버블을 방출합니다.종종 "Burping"이라고하는이 릴리스는 압력 축적을 방지하고 메모리 효과를 줄입니다. 메모리 효과는 배터리의 용량을 감소시킬 수 있으며 완전히 방전되지 않고 반복적으로 재충전 된 경우 수명을 줄일 수 있습니다.

그림 10 : 버프 충전 다이어그램
작동 방식과 유익한 이유는 다음과 같습니다.
충전 할 때이 배터리는 전극에 가스 기포를 형성하여 전기 흐름을 차단할 수 있습니다.버프 충전에는 짧은 배출 또는 "버프"가 포함되며,이 기포를 튀어 나와 전기가 매끄럽게 흐르도록 도와줍니다.
간단한 방전은 배터리의 내부 환경을 안정적으로 유지하는 데 도움이됩니다.가스 축적 및 내부 압력을 줄이면 버프 충전은 배터리 내에서보다 고르게 충전물을 분배 할 수 있습니다.
버프 충전은 전통적인 충전 방법의 일반적인 문제, 과충전 및 과열의 위험을 줄입니다.이로 인해 충전 프로세스가 더 빨라지고 배터리 충전을 완전히 고르게 보장합니다.
가스 축적 및 과열을 방지함으로써 버프 충전은 배터리의 내부 부품을 유지하는 데 도움이됩니다.이것은 배터리의 수명이 길어집니다.
IUI 충전은 빠르게 충전하는 표준 범람 납산 배터리를위한 최신 방법입니다.세상이 포함됩니다 : 설정 전압에 도달 할 때까지 초기 상수 전류 위상, 다른 사전 설정 수준까지 전류가 감소하는 일정한 전압 위상 및 최종 상수 전류로의 최종 복귀.이 접근법은 모든 셀에 걸쳐 충전을 보장하여 성능과 수명을 최대화합니다.
IUI 충전 방법은 표준 침수 납산 배터리에 유리합니다. 모든 셀에서 충전을 보장하고 최적의 성능을 유지하고 배터리의 전체 수명을 연장하는 데 좋습니다.IUI 충전은 전류 및 전압을 제어하여 과충전 또는 저하를 방지하여 배터리 고장의 위험을 줄입니다.또한 충전 시간을 단축시켜 많은 용도로 효율적이고 실용적입니다.

그림 11 : IUI 충전 다이어그램
플로트 충전은 비상 전력 시스템의 납산 배터리와 함께 주로 사용되는 기술입니다.이 방법에는 배터리와 하중을 일정한 전압 소스에 연결하는 것이 포함됩니다.전압은 배터리의 최대 용량 바로 아래로 유지됩니다.이 신중한 전압 제어는 과충전을 방지하고 배터리가 항상 사용할 준비가되도록합니다.
실제로 플로트 충전은 과충전의 위험없이 배터리를 완전히 준비시킵니다.일정한 전압 소스는 배터리의 자연스러운 자체 전하를 상쇄하여 충전을 최적의 수준으로 유지합니다.이 방법은 무정전 전원 공급 장치 (UPS), 비상 조명 및 대기 발전기와 같이 배터리를 언제라도 준비 해야하는 시스템에 매우 유용합니다.
플로트 충전을 사용하면 배터리의 신뢰성을 유지하여 필요할 때 전원을 공급할 수 있습니다.또한 빈번한 유지 보수 및 모니터링의 필요성을 줄여서 응급 전력 시스템을 준비하는 실용적이고 효율적인 방법입니다.

그림 12 : 플로트 충전 다이어그램
임의의 충전은 전원 공급 장치가 신뢰할 수 없거나 많이 변경 될 때 사용되는 방법입니다.이것은 종종 엔진 속도 변화가있는 차량이나 날씨의 태양 전지판과 같은 상황에서 발생합니다.
차량에서는 엔진 속도가 많이 다양하여 불규칙한 전력 출력이 발생하여 배터리가 제대로 충전하기가 어려워집니다.마찬가지로 태양 전지판은 햇빛을 기반으로 전기를 생산하며 구름이나 시간으로 인해 빠르게 변할 수 있습니다.이러한 변화는 제대로 처리되지 않으면 배터리에 많은 스트레스를 줄 수 있습니다.
이러한 문제를 처리하기 위해 임의의 충전은 특수 기술을 사용하여 가변 충전 조건을 관리합니다.여기에는 고급 알고리즘 및 전원 공급 장치 변경에 실시간으로 조정하는 스마트 충전 시스템이 포함됩니다.입력 전력을 지속적으로 모니터링하고 충전 프로세스를 조정함으로써 이러한 시스템은 배터리가 변동하는 전력으로 인한 손상으로부터 보호합니다.
임의의 충전은 또한 사라지지 않는 전원으로도 배터리가 잘 작동하고 오래 지속되도록합니다.전력 서지 중에 과충전을 방지하고 전력 방울 중에 충분한 충전이 있는지 확인합니다.

그림 13 : 임의의 충전에 대한 그래프
배터리를 충전하는 다양한 방법을 탐색하면 현대적인 장치 및 시스템의 증가하는 요구를 충족시키기 위해 배터리 기술을 개선하는 것이 얼마나 중요한지를 보여줍니다.상수 전압 및 상수 전류와 같은 기본 방법 및 하이브리드 CVCC 및 상수 전력 충전과 같은보다 고급 기술은 각각 고유 한 장점이 있으며 특정 유형의 배터리 및 용도에 가장 적합합니다.전극, 배터리 관리 시스템 및 스마트 기술을 사용하는 재료의 진보는 배터리를 더 좋고 안전하게 작동시키는 데 중요합니다.배터리 충전의 미래는 이러한 기술을 개발하고 사용하여 지속 가능하고 효율적이며 신뢰할 수 있도록합니다.
느린 충전 :이 방법은 주거 환경에서 발견되는 표준 AC (교대 전류) 전력을 사용합니다.충전기는 낮은 전력 수준 (최대 3kW)에서 작동하므로 하룻밤 충전에 적합합니다.
빠른 충전 : 빠른 충전기는 더 높은 수준의 AC 전력 (최대 22kW)을 사용하며 공공 충전소에서 발견됩니다.전기 자동차 (EV) 배터리는 일반적으로 몇 시간 내에 느린 충전기보다 빠르게 충전 할 수 있습니다.
빠른 충전 : DC (직류) 전력을 사용하여 사용 가능한 가장 빠른 충전기입니다.그들은 1 시간 안에 EV의 배터리 용량의 대부분을 전력으로 전력 할 수 있습니다.전력 수준은 약 50kW에서 시작하여 가장 고급 시스템의 경우 최대 350kW까지 올라갈 수 있습니다.
분당 충전 :이 가격 구조는 소비되는 전기량에 관계없이 충전기에 연결된 시간에 따라 사용자에게 요금을 청구합니다.
KWH 충전 당 : 이것은 킬로와트시의 차량에서 소비하는 전기를 기준으로 사용자가 청구되는 사용 기반 가격 모델입니다.이 방법은 사용 된 에너지와 직접적으로 관련되어있어 공정한 것으로 간주됩니다.
고정 요금 충전 : 일부 충전소는 1 시간 또는 하루와 같은 지정된 충전 창에 대한 고정 요금을 제공하며 더 긴 정지에 도움이 될 수 있습니다.
모드 1 충전 : 이는 차량이 특수 장비가없는 표준 가정용 전기 출구에 직접 연결되는 가장 간단한 형태의 EV 충전입니다.느리고 소규모 차량 또는 하룻밤 사이의 주택 충전에 사용됩니다.
모드 2 충전 :이 모드에는 표준 전기 콘센트에서 충전하는 것도 포함되지만 내장 보호 장치가있는 케이블이 포함되어 있습니다.이 장치는 감전 및 기타 잠재적 인 전기 위험에 대해 보호하여 모드 1보다 안전합니다.
극단적 인 충전을 피하십시오 : 배터리를 정기적으로 100%로 충전하지 않거나 0%로 배수하지 마십시오.청구를 20%에서 80% 사이로 유지하십시오.
제어 온도 : 배터리는 온도에서 가장 잘 작동합니다.배터리를 극도로 추위 나 열에 노출시키지 마십시오.
제조업체 권장 충전기 사용 : 배터리 손상을 피하려면 항상 차량 제조업체가 권장하는 충전 장비를 사용하십시오.
정기적 인 사용 및 유지 보수 : 정기적 인 사용 및 적시 유지 보수 점검은 배터리 건강 유지에 도움이됩니다.비활성의 장기는 배터리 성능을 저하시킬 수 있습니다.
충전 속도 : 빠른 충전은 편리하지만 배터리를 스트레스 할 수 있습니다.배터리 수명을 연장하기 위해 매일 사용하는 데 느리거나 중간 정도의 충전 속도가 바람직합니다.
온도 제어 : 온도가 적당한 제어 환경에서 충전하면 배터리의 건강과 효율성을 보존하는 데 도움이됩니다.
충전 범위 : 정기적으로 사용하는 동안 배터리의 충전 상태를 20% ~ 80%로 유지하면 수명과 성능에 영향을 줄 수 있습니다.
문의를 보내 주시면 즉시 응답하겠습니다.
11월3일에서
10월31일에서
4월18일에서 147757
4월18일에서 111935
4월18일에서 111349
4월18일에서 83719
1월1일에서 79508
1월1일에서 66903
1월1일에서 63027
1월1일에서 63010
1월1일에서 54081
1월1일에서 52122