
운동 속도 제어 이는 작업의 정확한 요구를 충족시키기 위해 모터가 얼마나 빨리 회전하는지 조정하는 것을 의미합니다.속도를 무작위로 바꾸는 것이 아니라 모터의 동작을 시스템에 언제라도 필요한 것과 일치시키는 것입니다.이 속도를 미세 조정하는 능력은 에너지 효율을 향상시키고 기계적 응력을 줄임으로써 장비 수명을 연장하며 운영의 정확도를 높입니다.예를 들어, 컨베이어는 섬세한 품목을 느리게하거나 라인이 클리어지면 속도를 높여야 할 수도 있습니다.전기 모터는 종종 변화하는 하중, 작업 또는 환경에 적응해야합니다.조정 가능한 속도가 없으면 모터는 한 번의 고정 속도로만 실행되므로 덜 유용하고 효율성이 떨어집니다.
전기 입력을 조정하여 속도가 제어됩니다.AC 모터에서는 일반적으로 전원 공급 장치의 주파수를 변경하는 것을 의미합니다.DC 모터에서는 전압 변화가 더 일반적입니다.일부 시스템은 피드백 센서를 사용하여 성능을 모니터링하고 조정합니다.이 피드백 루프는로드가 다양해도 일관된 속도를 유지하는 데 도움이됩니다.속도 제어는 이전 시스템의 기본 저항에서 마이크로 프로세서 및 정교한 알고리즘을 사용하는 고급 디지털 컨트롤러에 이르기까지 다양합니다.이러한 새로운 방법을 사용하면 모터가 변화하는 조건에 부드럽고 정확하게 반응 할 수 있습니다.
AC 모터 속도는 AC 전력의 주파수와 모터의 극의 수에 달려 있습니다.속도를 변경하기 위해 주파수를 변경합니다.VFDS (Variable Frequency Drive)가 들어 오는 곳입니다. VFD는 고정 주파수 AC 전력을 DC로 변환 한 다음 부드럽게 한 다음 원하는 주파수에서 AC로 다시 변환합니다.이를 통해 모터 속도를 정밀하게 조정할 수 있습니다.VFD는 주파수와 전압을 모두 제어함으로써 모터 토크를 관리하고보다 효율적으로 속도를 높일 수 있습니다.

그림 2. AC 모터 속도 제어 시스템의 블록 다이어그램
현대적인 가변 주파수 드라이브 (VFD)는 미세 조정 된 성능을 위해 토크와 플럭스를 분리하는 벡터 제어와 같은 고급 제어 기술을 통합하여 운동 속도를 조정하는 것 이상으로 이동합니다.이러한 기능을 통해 모터는 추가적인 기계적 구성 요소 또는 추가 응력없이 부하를 효율적으로 가속, 감속 및 유지 관리 할 수 있습니다.소프트 스타트 기능, 내장 과부하 보호 및 고급 진단과 같은 기능으로 인해 수처리 공장에서 엘리베이터 시스템에 이르기까지 VFD가 광범위한 응용 분야에서 중요하게 만들었습니다.
DC 모터는 종종 빠르고 정확한 속도 변화가 필요할 때 선택됩니다.그들의 속도는 전기자에 적용된 전압으로 직접 변합니다.부하는 또한 속도에 영향을 미치며, 증가 된 하중은 일반적으로 모터를 느리게합니다.오늘날 가장 효율적인 방법은 PWM입니다.모터에 전달 된 평균 전압을 제어하기 위해 조절 가능한 폭으로 고주파 전압 펄스를 사용합니다.이를 통해 전력 손실이 낮은 정확한 속도 제어가 가능합니다.

그림 3. DC 모터 속도 제어 시스템의 블록 다이어그램
다른 제어 방법에는 자기장의 전류를 조정하면 모터 속도가 변하는 현장 제어가 포함됩니다. 필드는 속도를 높이지만 토크를 줄입니다.전압 및 속도를 줄이기 위해 저항을 추가하는 단순하지만 비효율적 인 방법 인 전기자 저항 제어;센서를 사용하여 속도를 모니터링하고 전압 또는 전류를 자동으로 조정하여 다양한 하중에서 일관된 성능을 유지하는 폐쇄 루프 제어.정밀도와 응답 성으로 인해 DC 모터는 로봇 공학, 의료 장비 및 배터리 구동 도구에 일반적으로 사용됩니다.
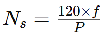
AC 모터 속도 제어 기술은 동기 속도에 대한 공식을 기반으로합니다.

어디:
• NS는 동기 속도 (RPM)입니다.
• F는 AC 공급의 빈도 (HZ)입니다.
• P는 모터의 극 수입니다
공급 주파수를 변경함으로써 운동 속도를 조정할 수 있으며, 이는 가변 주파수 드라이브 (VFD)를 사용하여 달성됩니다.VFD 제어에는 두 가지 주요 유형이 있습니다. 스칼라 (V/F) 제어는 일정한 전압 대주율 비율을 유지하고 기본 응용 분야에 대해 간단하고 안정적입니다.및 토크 및 자기 플럭스 성분을 분리하여 특히 저속에서보다 정확하고 반응 형 제어를 허용하는 벡터 제어.보다 고급 시스템에는 물리적 센서없이 모터 위치를 추정하는 센서가없는 제어가 통합되어 있습니다.또한 VFD는 제어 가속 (램핑), 토크 제한 및 제동과 같은 기능을 지원하여 엘리베이터, 크레인 및 CNC 머신과 같은 까다로운 애플리케이션에 매우 적합합니다.
DC 모터 속도는 관계에 의해 지배되며

어디:
• V는 전기자 전압입니다
• IA는 전기자 전류입니다
• RA는 전기자 저항입니다
• φ는 자기 플럭스입니다
다양한 속도 제어 기술 중에서 PWM (Pulse width modulation)은 효율성과 응답 성으로 인해 가장 효과적입니다.다른 방법으로는 플럭스 약화가 포함되며, 이는 낮은 토크가 허용되는 상황에서 적합한 자기장 강도를 줄임으로써 속도를 증가시킨다.에너지 손실로 인해 단순하지만 덜 효율적인 전기자 저항 제어;인코더 또는 타코로 네이터와 같은 센서를 사용하여 정확하고 적응적인 속도 조절을 제공하는 피드백을 사용한 폐쇄 루프 제어.
전압 제어:이 방법은 고정자 권선에 적용되는 공급 전압을 줄임으로써 모터를 느리게 만듭니다.전압이 떨어짐에 따라 자기장 강도가 감소하여 토크와 속도가 낮아집니다.이 방법의 단순성은 기본 응용 분야, 특히 팬 또는 펌프 하중에 매력적이지만, 모터가 속도가 감소하더라도 고전류를 계속 끌어내어 열과 에너지 손실을 증가시키기 때문에 일반적으로 비효율적입니다.정확한 제어가 필요하지 않은 가벼운 작업을 위해 예약되어 있습니다.
주파수 제어 (VFD): 가변 주파수 드라이브 (VFD)는 모터에 공급되는 전압과 주파수를 모두 조정하여 속도와 토크를 정확하고 효율적으로 제어 할 수 있습니다.Hertz의 일정한 볼트 비율을 유지함으로써 VFD는 넓은 속도 범위에서 모터의 자기 균형과 토크 특성을 보존합니다.이 방법은 에너지 효율, 적응성 및 다양한 하중 조건을 원활하게 처리하는 능력으로 인해 현대 산업 및 상업용 응용 분야에서 널리 사용됩니다.
극 변경: 일부 다람쥐 케이지 유도 모터는 스테이터 권선으로 설계되어 자기 극의 수를 변경하기 위해 재구성 할 수 있습니다.극 수를 변경함으로써 모터의 동기 속도는 개별 단계 (예 : 2 극에서 4 극으로)로 변경되어 모터가 서로 다른 고정 속도로 작동 할 수 있습니다.이 방법은 외부 전자 제품없이 다중 속도 제어를 달성 할 수있는 간단하고 강력한 방법을 제공하지만 사전 정의 된 속도 설정으로 제한되며 원활한 변동성이 부족합니다.
외부 로터 저항 :이 기술은 슬립 링과 브러쉬를 통해 로터 회로에 가변 저항기를 추가하는 것이 포함됩니다.로터 저항을 증가시킴으로써 슬립이 증가하여 로터 속도를 낮추고 시작하는 동안 또는 가변 토크가 필요한 하중에 유용한 토크 제어를 제공합니다.그러나, 전기 에너지의 일부는 외부 저항의 열로 소산되어, 방법은 지속적인 사용에 비효율적이다.
캐스케이드 제어:이 설정에서는 두 개의 모터가 기계적으로 결합되어 있으며 하나의 모터 (2 차 또는 보조 모터)는 메인 (1 차) 모터의 로터 회로에 전기적으로 연결됩니다.이 배열은 전기 및 기계적 링크의 설계에 따라 고정 된 단계에서 전력 공유 및 속도 제어를 허용합니다.현대 시스템에서는 비교적 복잡하고 덜 일반적이지만, 캐스케이드 제어는 레거시 산업 기계에서 큰 하중과 중간 속도를 관리하는 효과적인 방법이었습니다.
EMF 주입: Kramer 및 Scherbius Drives와 같은 시스템에서 사용되는 ELF (Electromotive Force) 주입은 특정 주파수와 위상의 제어 된 전압을 로터 회로로 주입하는 것을 포함합니다.이것은 로터의 슬립 주파수를 변경하고 저항 방법보다 더 나은 효율로 가변 속도 작동을 허용합니다.이 드라이브는 대형 압축기, 펌프 또는 밀과 같이 정확한 속도 조절 및 에너지 회복이 중요한 고전력 응용 프로그램에 적합합니다.
현장 제어:이 방법에는 DC 션트 모터의 필드 권선과 직렬로 가변 저항을 삽입하는 것이 포함됩니다.저항을 증가시킴으로써 필드 와인딩을 통한 전류는 감소하여 자기 플럭스가 약화됩니다.DC 모터의 속도 방정식에 따르면, 플럭스의 감소는 일정한 전기자 전압을 가정하여 속도의 증가를 초래한다.현장 제어는 정격 값보다 속도를 높이려면 비교적 효율적입니다.그러나 필드를 약화 시키면 토크가 줄어들고 불안정성 또는 과도한 속도를 유발할 수 있으므로이 방법은주의해서 적용되어야하며 종종 보호 조치가 필요합니다.
전기자 전압 제어:이 방법에서, 전기자에 공급되는 전압은 필드 플럭스를 일정하게 유지하면서 직접 다양합니다.전기자 전압을 낮추면 속도와 토크가 비례 적으로 줄어 듭니다.이 기술은 구현하기가 간단하며 정격 속도 아래에서 원활한 제어를 허용합니다.그러나 과도한 에너지는 종종 제어 저항 또는 전력 전자 제품에서 열로 소산되기 때문에 특히 하중에서 에너지 효율이 적습니다.
Ward-Leonard 시스템:이 클래식 제어 시스템은 AC 또는 DC 모터에 의해 구동되는 DC 발전기의 출력을 제어하여 가변 전압이 생성되는 모터 생성기 (M-G) 세트를 사용합니다.생성 된 전압은 션트 모터의 전기자로 공급되어 양방향으로 넓은 속도 범위를 미세하고 지속적으로 제어 할 수 있습니다.비용이 많이 들고 부피가 큰 Ward-Leonard 시스템은 토크 제어 및 속도 조절 측면에서 우수한 성능을 제공하므로 엘리베이터 호이스트, 롤링 밀 및 인쇄기와 같은 애플리케이션을 요구하는 데 이상적입니다.
필드 다이버터: 저항 (Diverter)은 시리즈 필드 권선과 병렬로 연결됩니다.이를 통해 전류의 일부가 필드 와인딩을 우회하여 자기 플럭스를 약화시키고 운동 속도를 증가시킬 수 있습니다.이 방법은 기본 형태의 속도 제어를 제공하며 임시 속도 부스트가 필요한 트랙션과 같은 응용 프로그램에 유용합니다.그러나 불안정성이나 모터 과열을 방지하기 위해 토크를 줄이고 신중하게 균형을 이루어야합니다.
전기자 다이버터 : 전기자 회로와 병렬로 저항을 배치함으로써 전기자와 필드 사이의 전류 분포를 수정할 수 있습니다.이 조정은 모터의 토크 속도 특성을 변경합니다.필드 다이버터보다 미묘한 방법이므로 토크를보다 잘 제어 할 수 있지만 복잡성을 도입하고 성능 손실이나 손상을 피하기 위해 신중한 튜닝이 필요합니다.
탭 필드 및 재 그룹 링:이 방법은 필드 와인딩의 활성 회전 수를 변경하여 자기장 강도를 수정합니다.와인딩에 탭을 사용하거나 연결 (재 그룹화)을 재 배열함으로써 스피드 토크 곡선을 이동시키기 위해 다른 자기 구성을 선택할 수 있습니다.고정 속도 단계를 제공하며 크레인이나 호이스트와 같이 예측 가능한 속도 변화가 충분한 장비에서 일반적으로 사용됩니다.
저항 제어: 외부 저항기가 모터와 직렬로 추가되는 기본 방법으로 전압을 떨어 뜨리고 속도를 줄입니다.단순하고 저렴하지만이 방법은 전기 에너지의 대부분이 열로 손실되기 때문에 비효율적입니다.일반적으로 효율성이 주요 관심사가 아닌 저가 또는 오래된 시스템에서만 사용됩니다.
일련의 평면 제어:이 기술에서는 둘 이상의 시리즈 모터가 직렬로 또는 병렬로 연결됩니다.직렬로, 그들은 동일한 전류를 공유하고 더 높은 토크로 더 낮은 속도로 작동합니다.동시에, 그들은 토크가 감소하여 고속으로 작동합니다.이 제어 방법은 속도의 단계 변화를 허용하며 간단하고 신뢰할 수있는 속도 제어가 필요한 전차 및 열차와 같은 전기 트랙션 시스템에서 일반적으로 발견됩니다.
산업
산업 환경에서 AC 운동 속도 제어는 컨베이어, 믹서, 펌프 및 기타 기계 시스템과 관련된 프로세스를 최적화하는 데 역할을합니다.가변 주파수 드라이브 (VFD)와 같은 장치를 사용하여 모터 속도를 정확하게 조절함으로써 특정 생산 요구 사항을 위해 작업을 조정하여 프로세스 정확도가 향상되고 기계적 응력 감소 및 에너지 절약을 초래할 수 있습니다.예를 들어, 제품 검사 중에 컨베이어 벨트 속도를 늦추거나 믹서를 부드럽게 증가 시키면 마모가 줄어들고 안전을 향상시킵니다.이 유연성은 전반적인 효율성을 향상시키고 기계의 수명을 연장합니다.
HVAC
난방, 환기 및 에어컨 (HVAC) 시스템은 팬, 송풍기 및 압축기의 속도 제어 모터에서 큰 이점을 제공합니다.환경 조건 및 시스템 요구에 따라 운동 속도를 조정함으로써 특히 온도 변동 또는 점유 변화와 같은 가변 하중 상황에서 에너지 소비가 줄어 듭니다.VFD는 공기 흐름 및 냉장주기의 소프트 스타트 및 미세 조정 변조를 허용하여 조용한 운영, 편안함을 향상 시키며 주거 및 상업용 건물 모두에서 운영 비용이 낮아집니다.
홈 어플라이언스
세탁기, 냉장고 및 식기 세척기와 같은 현대식 가전 제품은 속도 제어 AC 모터를 사용하여 성능과 에너지 효율을 향상시킵니다.예를 들어, 세탁기의 가변 속도 모터는 최적화 된 교반 및 스핀 속도로 다양한 세척주기를 가능하게하여 소음 및 진동을 줄입니다.냉장고에서 속도 제어 기능이있는 압축기는 냉각주기를 더 매끄럽게 조정하여 에너지 사용이 적은 일관된 온도를 유지할 수 있습니다.
스마트 인프라
스마트 건물 및 운송 시스템에서 AC 운동 속도 제어는 엘리베이터, 에스컬레이터, 이동 보도 및 자동화 된 도어 관리에 필수적입니다.이 시스템은 종종 BMS (Building Management Systems) 또는 IoT 네트워크와 인터페이스하는 지능형 모터 컨트롤러를 사용하여 제어, 진단 및 에너지 모니터링을 제공합니다.예를 들어, 엘리베이터는 승객 부하 또는 바닥 수요에 따라 가속 및 감속 프로파일을 조정하여 승차 안락함 및 에너지 사용을 개선 할 수 있습니다.에스컬레이터는 사용하지 않을 때 속도가 느려지거나 일시 중지 될 수 있으며, 현대 인프라 설계에서 유휴 전력 소비를 줄이고 지속 가능성 목표와 일치 할 수 있습니다.
로봇 공학
DC 모터는 빠른 응답과 정확한 속도 및 위치 제어를 제공하는 능력으로 인해 로봇 공학에서 널리 사용됩니다.PWM (Pulse-Width Modulation) 및 인코더와 같은 피드백 시스템의 도움으로 로봇 시스템은 객체 조작, 내비게이션 및 조정과 같은 작업에 필요한 세밀한 움직임을 달성 할 수 있습니다.이 응답 성은 산업 로봇 암에서 자율 모바일 로봇에 이르기까지 다양한 응용 분야에서 중요합니다.
전기 자동차
전기 자동차 (EV)에서 DC 모터 속도 제어는 원활한 가속, 감속 및 전반적인 구동 성능에 적합합니다.모터에 공급되는 전압 및 전류를 조정함으로써 차량은 다양한 속도와 토크 레벨 사이에서 원활하게 전환 할 수있어 편안함과 제어를 향상시킬 수 있습니다.재생 제동 시스템은 제어 된 DC 모터 작동을 사용하여 제동 중에 운동 에너지를 전기 에너지로 다시 변환하여 전반적인 효율성을 향상시키고 배터리 수명을 확장합니다.이러한 기능은 DC 모터가 2 륜 및 4 륜 전기 운송 시스템 모두에 이상적입니다.
소비자 장치
DC 모터는 전동 공구, 헤어 드라이어, 컴퓨터 냉각 팬 및 소형 주방 기기를 포함한 많은 컴팩트하고 휴대용 소비자 장치의 중심에 있습니다.이러한 응용 분야의 속도 제어는 최적의 성능, 안전 및 에너지 효율을 보장합니다.예를 들어, 파워 드릴에서 가변 속도 트리거는 다양한 재료의 토크와 속도를 조정할 수있는 반면 팬의 경우 속도 변동은 더 나은 편안함과 소음 제어를 제공합니다.소형 설계 및 전자 제어 용이성은 DC 모터가 배터리 구동 장치에 적합하게 만듭니다.
의료 및 실험실 장비
의료 및 실험실 기기에는 고도로 제어되고 조용하며 안정적인 모터 작동이 필요합니다.정밀한 속도 제어 기능이있는 DC 모터는 주입 펌프, 원심 분리기, 수술 도구 및 자동화 된 분석기와 같은 장비에 사용됩니다.이러한 응용 분야는 유체, 샘플 또는 수술 운동의 정확한 전달 또는 측정을위한 정확한 모션 제어와 함께 민감한 환경을 방해하지 않도록 침묵의 작동을 요구합니다.브러시리스 DC 모터 (BLDC)는 저음이 적고 유지 보수가 적고 일관된 성능을 선호합니다.
|
특징 |
AC 모터 |
DC 모터 |
|
전원 |
교대 전류 (AC) 사용 |
직류 (DC) 사용 |
|
속도가 제어되는 방법 |
변수로 주파수를 조정하여 속도 변경
주파수 드라이브 (VFD) |
전압 또는 필드 전류를 조정하여 속도 변화 |
|
제어 복잡성 |
더 복잡한 : VFD, 벡터 제어가 필요합니다
센서 |
더 간단한 : 전압 변경, PWM 또는 필드 제어를 사용합니다 |
|
응답 시간 |
VFD 지연으로 인한 응답 느린 응답 |
특히 디지털 제어에 대한 빠른 응답 |
|
시작 토크 |
특수 제어 방법없이 낮음 |
기본적으로 높은 시작 토크 |
|
다른 속도로 토크 |
토크는 저속으로 떨어질 수 있습니다 |
모든 속도에서 강한 토크를 유지합니다 |
|
속도 안정성 |
폐쇄 루프 시스템이 양호합니다.없이 덜 안정적입니다 |
모든 속도에서 우수한 제어 및 안정성 |
|
속도 범위 |
드라이브 및 모터 설계에 의해 제한됩니다 |
매우 낮은 속도에서 고속까지 넓습니다 |
|
유지 보수 요구 |
낮음 : 브러시 나 통근자가 없습니다 |
더 높음 : 브러시가 없으면 브러시가 마모됩니다 |
|
가혹한 환경에서 내구성 |
힘든 조건에 대해 더 견고하고 더 좋습니다 |
브러시드 모터는 거친 환경에서 내구성이 떨어집니다 |
|
열 처리 |
종종 냉각 시스템으로 제작되었습니다 |
냉각되지 않으면 과열 될 수 있습니다 |
|
소음 및 간섭 (EMI) |
전기 노이즈 (EMI)를 생성 할 수 있습니다.필터링이 필요합니다 |
브러시 된 모터는 소음을 만듭니다.브러시리스는 더 조용합니다 |
|
전원 공급 장치가 필요합니다 |
AC 메인 (예 : 120V 또는 240V)과 직접 작동합니다. |
AC에서 DC 공급 또는 컨버터가 필요합니다 |
|
역전 방향 |
VFD로 프로그래밍이 필요합니다 |
쉬운 : 극성을 되돌리거나 H 브리지를 사용하십시오 |
|
재생 제동 |
복잡하고 설정하는 데 비싸다 |
쉽고 효율적이며 EV 및 로봇 공학에 사용됩니다 |
|
에너지 회복 |
고급 VFD로 가능합니다 |
당연히 에너지 회복을 지원합니다 |
|
디지털 제어 통합 |
VFD를 통해 PLC와 같은 시스템에 연결합니다 |
마이크로 컨트롤러에 의해 쉽게 제어됩니다 |
|
능률
|
꾸준한 속도가 매우 효율적입니다 |
가변 속도 또는 빈번한 경우 매우 효율적입니다
시작/중지 |
|
제어 시스템의 크기 |
VFD는 크고 냉각이 필요할 수 있습니다 |
DC 컨트롤러는 작고 설치가 쉽습니다 |
오늘날의 기계와 장치에서는 운동 속도를 제어하는 것이 매우 중요합니다.에너지를 절약하고 기계를 더 오래 지속시켜 매끄럽게 달리게합니다.AC 모터는 종종 전원의 주파수를 조정하여 VFD를 사용하여 속도를 변경합니다.DC 모터는 전압을 조정하거나 빠른 온 오프 신호 (PWM)를 사용하여 속도를 변경합니다.이 방법을 사용하면 기계가 큰 공장 기계, 에어컨 또는 로봇 팔이든 상관없이 기계가 작업을 개선 할 수 있습니다.AC 모터는 무거운 작업과 오래 지속되는 사용에 적합하지만 빠르고 정확한 움직임이 필요할 때 DC 모터가 더 좋습니다.올바른 속도 제어 방법을 사용하면 기계가 안전하고 효율적으로 작동하며 필요한 방법을 정확하게 작동시킵니다.
문의를 보내 주시면 즉시 응답하겠습니다.
전력은 유형 (AC 또는 DC)보다 모터 설계에 더 의존합니다.그러나 동일한 크기 및 전압 등급의 경우 AC 모터는 더 높은 하중을 처리 할 수 있고 지속적이고 강력한 사용을 위해 구축되기 때문에 더 강력합니다.3 상 유도 모터와 같은 산업용 AC 모터는 큰 기계를 안정적으로 구동 할 수 있기 때문에 공장에서 일반적입니다.반면에 DC 모터는보다 정확한 속도와 토크 컨트롤을 제공하지만 일반적으로 미세 조정 운동이 원시 전력보다 중요하는 로봇 공학과 같은 더 작고 전문화 된 응용 분야에서 사용됩니다.
DC 모터는 일반적으로 AC 모터, 특히 작은 영구 자석 또는 브러시리스 DC 모터보다 높은 RPM (분당 혁명)을 달성합니다.DC 모터는 전력선 주파수에 의존하지 않으며 전압을 증가 시켜서 더 빨리 회전 할 수 있기 때문입니다.그러나 AC 모터 속도는 입력 주파수 및 극의 수와 관련이 있으므로 고급 VFD가 사용되지 않는 한 더 제한적입니다.DC 모터는 종종 전동 공구, 드론 또는 의료 기기와 같은 고속 성능이 필요한 곳에서 사용됩니다.
항상 그런 것은 아닙니다.AC 모터는 무거운 환경에서 더 오래 지속됩니다.대부분의 AC 모터, 특히 유도 유형은 움직이는 부품이 적고 브러시가 없기 때문에 시간이 지남에 따라 마모가 줄어 듭니다.브러시 된 DC 모터는 브러시와 정류기 사이의 마찰로 인해 더 빨리 마모됩니다.그러나 브러시리스 DC 모터 (BLDC)는 AC 모터와 유사한 수명이 길며 저전력 또는 정밀 장치에서 매우 신뢰할 수 있습니다.따라서 DC 모터의 유형과 사용 방법에 따라 다릅니다.
속도를 변경하려면 VFD와 같은 복잡한 장치가 필요하기 때문에 AC 모터는 제어하기가 더 어려울 수 있습니다.또한 신호를 제어하기 위해 신속하게 응답하지 않으므로 빠른 속도 변화가 필요한 작업에 덜 이상적입니다.DC 모터, 특히 브러시 된 모터는 브러시 마모로 인해 더 많은 유지 보수가 필요합니다.또한 높은 전력 수준에서 덜 효율적 일 수 있으며 속도 제어를 위해 PWM 회로와 같은 전자 컨트롤러가 필요합니다.또한, 그들은 종종 부피가 커지거나 과열되지 않고 AC 모터뿐만 아니라 큰 하중을 처리 할 수 없습니다.
AC 모터의 경우 가변 주파수 드라이브 (VFD)는 전원 공급 장치의 주파수와 전압을 조정하여 속도를 변경하는 데 사용됩니다.DC 모터의 경우, PWM (Pulse width modulation)은 전력 전달을 제어하기 위해 전압을 빠르게 전환하여 빠르게 스위칭하여 속도를 조정하는 가장 일반적인 방법입니다.두 경우 모두 센서를 사용하여 밀폐 된 루프 제어 시스템을 추가하여 운동 속도를 모니터링하고 자동으로 조정하여 다양한 하중에 걸쳐 일관되고 정확한 작동을 제공 할 수 있습니다.
5월21일에서
5월20일에서
4월18일에서 147757
4월18일에서 111935
4월18일에서 111349
4월18일에서 83719
1월1일에서 79508
1월1일에서 66903
1월1일에서 63027
1월1일에서 63010
1월1일에서 54081
1월1일에서 52122